![]()
第1部目次
![]()
前ページ
![]()
次ページ
|
1-2: 波動についての "おさらい" |
シュレーディンガーの
波動力学について
勉強する前に,
ちょっとだけ
波動について
おさらい を
しておきましょう.
|
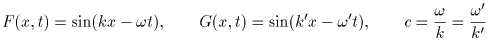
「簡単な波動」
簡単のため
しばらくの間
1次元空間
を考えましょう.
例えば,ギターや
琴のような
弦の中を伝わる振動を
考えるわけです.
弦の振動の大きさ F は
下図 のように
位置 (x ) と
時刻 (t ) との
関数 F (x, t ) です.
|
この図には
右方向に進行する
正弦波
(最も簡単な波動)
が描かれています.
実線 の波は
時刻が t = 0 のとき,
破線はそれより
少し後の時刻の波です.
この波の波長を λ,
振動数を ν とすると,
です.
k は 波数,
ω は 角振動数
と呼ばれます.
また,波が進行する
速度
c は
となります.
|
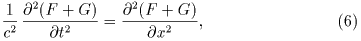
「通常の波動方程式」
弦の中を伝わる波動
F (x, t )
が従う
波動方程式 が
と書かれることは
よく知られています.
記号 ∂ は
偏微分 を
意味します.
偏微分は,
F (x, t )
のように変数が2つ以上ある
関数の,特定の変数
のみに関する
変化率を意味します.
例えば,
∂F /∂t
は x を固定したまま
F を t で
微分することを意味します.
他方,
∂F /∂x
は t を固定したままで
x で
微分するわけです.
(4) 式の中の定数 c は
波の進行速度で,弦の線密度や
弦の張力に依存します.
(1) 式の正弦波が
(4) 式の波動方程式を
満たすことは
言うまでもありません.
つまり,正弦波 (1) は
波動方程式 (4) の
特別な解です.
|
上の (4) 式は
弦という1次元空間 の
中を伝わる振動の
波動方程式です.
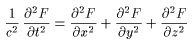
3次元空間 の場合,
たとえば
空気中の波動(音波)や,
真空中の電場や磁場
すなわち電磁波 (光) の
場合には,3次元の座標
(x,y, z )
が必要です.
したがって,
この場合の波動
F
は 4つの変数
x,y, z
t
の関数
F (x,y, z,
t ) となり,
このときの波動方程式は
となります.
定数 c は,
音波のときは 音速,
電磁波 (光) のときは
光速 です.
|
「重ね合わせの原理」
(4) 式の波動方程式は
たいへん一般的な形ですから,
これだけでは波の形 (波形)
を決めることはできません.
例えば,時刻が t = 0
のときの波形 (初期条件) が
与えられると,その後の
波の動きは (4) 式の波動方程式
で決めることができます.
しかし,波動方程式には
波動 という性質に
とって欠くべからざる
大変大事な性質があります.
それは
重ね合わせの原理
です.下で詳しく
説明しましょう.
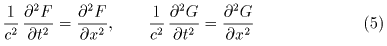
いま,関数
F (x, t ) が
(4) 式の波動方程式を満たす
波動であるとしましょう.
同じく別の関数
G (x, t ) が
同じ波動方程式を満たす
別の波動であるとしましょう.
すなわち,
です.
このとき,
これら2つの波動をたし算した
(重ね合わせた)
F + G
もまた同じ
波動方程式を満たす
波動です.つまり,
が成り立ちます.
つまり,
「同一の波動方程式を
満たす複数の波動を
たし算して重ね合わせたものも,
やはり同じ
波動方程式を満たす
波動である」
という
重ね合わせの原理
が成り立ちます.
|
例1 (定在波)
右方向に進行する
正弦波
も,左方向に進行する
正弦波
も,ともに
弦の波動方程式 (4) を
満たします.
したがって,これらを
重ね合わせた波
も,
弦の波動方程式 (4) を
満たします.
この波は左右どちらにも
進行しない
定在波 です.
両端を固定した
弦の振動は
この種の波です
(下図参照).
|
|
長さ L の弦の固有振動
両端の固定点が
常に振動の 0 点と
なるために,
波長λが
2L,
2L/2,
2L/3,
・・・ の
固有振動のみが
可能です.
|
例2 (干渉)
波数(あるいは波長)が
異なる2つの正弦波
を重ね合わせると,
2つの波が,
位置によって,
強め合ったり
弱め合ったりします.
これが 干渉 です
(下図参照).
干渉が起きるということは,
重ねあわせの原理が
成り立つということを
意味し,
波動性 の
表れであると
考えられます.
|
|
2つの正弦波の干渉
波長が少し異なる
2つの正弦波
@ と A を
重ね合わせたものが
B の太い 実線 です.
干渉現象が起きています.
|
トップ
|
|
第1部目次へ戻る
前ページへ戻る
次ページへ進む
|