![]()
第3部目次
![]()
前ページ
![]()
次ページ
|
3-4: 光の量子力学 |
これまでに学んできた
シュレーディンガー
方程式 は,
物質粒子の
波動性,
すなわち,
粒子の運動に伴う
ド・ブローイ波
を記述するために
導入されました.
このシュレーディンガー
方程式が,物質粒子の
波動性と粒子性の
二重性 を
見事に記述することが
明らかになりました.
一方,光もまた
波動性と粒子性の
二重性 を
持つことが
強調されてきました.
古典論においては,
もともと光は
マクスウェル方程式に従う
電磁波です.
電磁波は 下図 のように
振動する電場 E と
磁場 B とから
成り立っています.
この電磁場の波動が,
どのようにして
粒子性 を
持つことができるのでしょう.
|
|
光の波動性
光 (電磁波) は
直交する電場 E と
磁場 B とから
から成っています.
E も
B も
同じ振動数 (ν),
波長 (λ) で振動する
波動です.
したがって,光の速さは
c = νλ です.
真空中で
です.
|
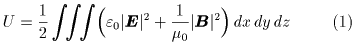
「空洞内の放射のエネルギー」
マクスウェルの
電磁気学によれば,
空洞
(真空) 内の電磁波
(光,放射) のエネルギー
U は
と表されます.
積分は空洞全体に
わたるものとします.
電場 E や
磁場 B は,
一般に 平面波
の重ねあわせで
書くことができます.
ここで,k
は 平面波の 波数ベクトル
であり,波長を λ とすれば,
k の大きさは
| k | = 2π/λ
です.
例えば,
電場 E は
と展開できます.
は,それぞれ
垂直,
水平方向の
単位ベクトルであり,
はそれぞれの方向の
電場の強さです.
磁場についても
同様です.
ここで大切なことは,
電場や磁場が
さまざまな波数 (波長)
の波動を重ね合わせたものである
ということです.
この結果を使うと,
空洞内の放射のエネルギーは,
と書かれます.
ただし,
です.
(4) 式は質量が 1 の
「重り」 のついたバネの運動
(調和振動子) と同等です.
すなわち,
を k 番目の
調和振動子の
座標と運動量
と考えると,
(4) の 第1の式は
バネの「重り」 の
速度と運動量の関係,
第2の式は
「重り」 に対する
ニュートンの運動方程式
です.
マクスウェルの
電磁気学から
これらの結果を
どのようにして導くか,
その詳細は結構面倒ですから,
ここでは省略します.
下の結論だけを理解してください.
以上の (3),(4) 式を見ると,
空洞内の
電磁波 (放射) は
無限に多数の
調和振動子の
集まりと同等である,
ということになります.
|
「電磁波 (光) の量子化」
上のように,
光は調和振動子 (バネ) の
集団であることが
分かりました.
これを 量子力学 で
取り扱うと,
すなわち 量子化
すると,
本セミナーの
1-6 ページ や
3-1 ページ
で既に見たように,
調和振動子 (バネ) の
エネルギー固有値 は
を単位として,
その整数倍の
飛び飛びの値
になります.
これはまさに,
プランク の
エネルギー量子
に他なりません.
つまり,空洞内の放射の
エネルギーは粒々 (つぶつぶ) に
なっている のです.
なんと素晴らしいことでしょう.
古典論 (マクスウェルの
電磁気学) に従う
電磁波を,量子力学的に
取り扱うだけで
エネルギー量子が
現れるのです.
|
「光と荷電粒子の相互作用」
上に述べたように,
電磁波は電場と磁場とで
成り立っているので,
電子 のような
荷電粒子 に当たると,
勿論,電磁波は
電子に力を及ぼし,
電磁波と電子の間に
相互作用が生じます.
この相互作用を正しく
取り扱うには,
電子に対する
シュレーディンガー
方程式 と,
上に述べた 電磁波の
量子力学
とを 結びつければ
よいでしょう.
これを定式化したものが
量子電磁力学
です.内容は少し
高度ですから,ここでは
その説明は省略します.
この理論を用いると,
アインシュタイン の
光電効果の理論 や,
コンプトン散乱
のような光と物質粒子
の相互作用に関する
全ての「謎」が
完全に解決されるのです.
このようにして,
物質粒子 や 光 の
波動性 と 粒子性 の
二重性 が
量子力学 の中で
完全に統一され,
「ミクロの世界の謎」が
完璧に解決されました.
|
トップ
|
|
第3部目次へ戻る
前ページへ戻る
次ページへ進む
|