![]()
第2部目次
![]()
前ページ
![]()
次ページ
|
2-3: 古典論との関係 |
「ニュートンの運動方程式」
1次元空間において,
ニュートンの運動方程式
を考えましょう.
F は質点 m
に働く力,
V (x ) は
力のポテンシャルです.
運動量 p は
ですから,(1) 式の
ニュートンの運動方程式は
と書くこともできます.
量子力学の
基本方程式である
シュレーディンガー方程式
は,物質粒子の運動に伴う
ド・ブローイ波の
波動方程式として
考案されました.
したがって,
シュレーディンガー方程式は
ニュートンの運動方程式と
深く関連している
はずです.
それでは,それらの関係は
どのように
なっているのでしょう.
このことを学ぶため,
まず 量子力学 における
平均値
という考え方から
スタートしましょう.
|
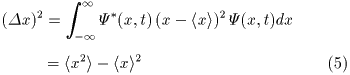
「粒子の位置の平均値 と ばらつき」
量子力学では
粒子の位置は
確率的にしか決まりません.
したがって,全く同じ
条件の下でも,
観測する度に
粒子の位置の測定値は
変わるでしょう.
それらの 平均値 <x > は,
x に "存在確率" の
確率密度を掛けて
全空間で積分して
となるはずです.
(もちろん,波動関数
Ψ(x , t ) は
規格化
されているものとします.)
つまり,波動関数
Ψ(x , t )
で表される状態において,
粒子の位置の平均値
<x > は
(4) 式で与えられる,
ということです.
このように量子力学では,
一般にある物理量 O
の 平均値 は,
O を波動関数の
複素共役 Ψ*
と波動関数 Ψ とで
はさんで積分することによって
得ることができます.
粒子の位置を
何度も観測すると,
測定値は平均値の
まわりでばらつきます.
そのばらつき の大きさ
x は
で与えられるはずです.
|
「運動量の演算子」
量子力学においては,
位置 を表すのは
普通の変数 x
です.
本セミナーの
1-3 ページ
において,
シュレーディンガー
方程式について
検討したとき,
量子力学においては
運動量 p は
微分演算子
で表されると言いました.
このように,
量子力学においては
一般に物理量は
演算子 で表されます.
(位置 x のような
普通の変数も演算子の
1種だと考えましょう.)
だから量子力学では,
物理量の 積 は
積の順番をひっくり返すと
異なる結果になって,
古典論の常識が
通用しなくなるのです.
( 本セミナーの
1-4 ページ 参照).
したがって,状態
Ψ(x , t )
における
運動量の平均値
<p > は
と表されます.
|
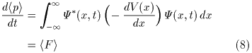
「エーレンフェストの定理」
運動量の平均値
<p > の
時間変化を
検討しましょう.
<p > の
時間による微分は
となります.
つまり,量子力学では,
「粒子の
運動量の平均値の
時間変化は,
粒子に働く力の平均値
に等しい」
という
エーレンフェスト
の定理
が成り立ちます.
この定理
(8) 式と
ニュートンの運動方程式
(3) とは,同形であることに
注意してください.
この意味で,
量子力学の中には
ニュートンの運動方程式
が含まれているのです.
上の (8) 式の
エーレンフェストの
定理 を導くのは
それほど難しくありませんが,
少し説明が必要ですので,
別のページ
2-3-A: エーレンフェストの定理の証明
を見て下さい.
|
トップ
|
|
第2部目次へ戻る
前ページへ戻る
次ページへ進む
|